Quickstart¶
This guide will help you get started with DeepMIMO quickly.
Load scenario¶
Load a scenario and generate channels with default settings:
import deepmimo as dm
scenario = 'asu_campus_3p5'
# Download a Scenario
dm.download(scenario)
# Load to memory
dataset = dm.load(scenario)
Load will open the ray tracing scenario matrices, such as the received powers, times of arrival, and angles.
Tip
dm.download() requires an internet connection. If the scenario already exists in ./deepmimo_scenarios, the download is skipped.
Compute channels¶
# Generate channels with default parameters
dataset.compute_channels()
print(dataset.channels.shape)
# [n_ue, n_ue_ant, n_bs_ant, n_freqs]
# (131931, 1, 8, 1)
Tip
See the Channel Generation Examples for the default parameters and how to configure channel generation.
Visualize Dataset¶
Scene¶
dataset.scene.plot()

Coverage Maps¶
# Plot power coverage map (power is [n_ue, n_paths])
dataset.power.plot() # selects first path by default
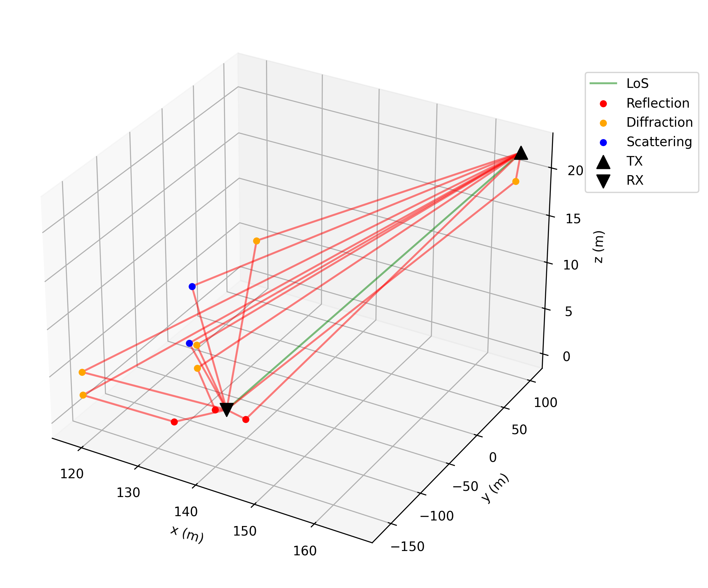
Rays¶
# Plot ray paths for a user in line of sight
los_user = np.where(dataset.los == 1)[0][2500]
dataset.plot_rays(los_user)

Inspect Dataset¶
To see all matrices available in a DeepMIMO dataset, call:
dataset.info()
This will print 3 tables, the fundamental matrices, the computed attributes, and the other dictionaries in DeepMIMO.
Fundamental Matrices¶
| Matrix | Shape | Description |
|---|---|---|
| power | [num_rx, num_paths] | Tap power. Received power in dBW for each path, assuming 0 dBW transmitted power. 10*log10(|a|²), where a is the complex channel amplitude |
| phase | [num_rx, num_paths] | Tap phase. Phase of received signal for each path in degrees. ∠a (angle of a), where a is the complex channel amplitude |
| delay | [num_rx, num_paths] | Tap delay. Propagation delay for each path in seconds |
| aoa_az | [num_rx, num_paths] | Angle of arrival (azimuth) for each path in degrees |
| aoa_el | [num_rx, num_paths] | Angle of arrival (elevation) for each path in degrees |
| aod_az | [num_rx, num_paths] | Angle of departure (azimuth) for each path in degrees |
| aod_el | [num_rx, num_paths] | Angle of departure (elevation) for each path in degrees |
| inter | [num_rx, num_paths] | Type of interactions along each path. Codes: 0: LOS, 1: Reflection, 2: Diffraction, 3: Scattering, 4: Transmission. Code meaning: 121 -> Tx-R-D-R-Rx |
| inter_pos | [num_rx, num_paths, max_interactions, 3] | 3D coordinates in meters of each interaction point along paths |
| rx_pos | [num_rx, 3] | Receiver positions in 3D coordinates in meters |
| tx_pos | [num_tx, 3] | Transmitter positions in 3D coordinates in meters |
Computed/Derived Matrices¶
| Matrix | Shape | Description |
|---|---|---|
| los | [num_rx, ] | Line of sight status for each path. 1: Direct path between TX and RX. 0: Indirect path. -1: No paths between TX and RX. |
| channel | [num_rx, num_rx_ant, num_tx_ant, X] | Channel matrix between TX and RX antennas. X = number of paths (time domain) or subcarriers (frequency domain) |
| power_linear | [num_rx, num_paths] | Linear power for each path (W) |
| pathloss | [num_rx, num_paths] | Pathloss for each path (dB) |
| distance | [num_rx, num_paths] | Distance between TX and RX for each path (m) |
| num_paths | [num_rx] | Number of paths for each user |
| inter_str | [num_rx, num_paths] | Interaction string for each path. Codes: 0:"", 1:"R", 2:"D", 3:"S", 4:"T". Example: 121 -> "RDR" |
| doppler | [num_rx, num_paths] | Doppler frequency shifts [Hz] for each user and path |
| inter_obj | [num_rx, num_paths, max_interactions] | Object ids at each interaction point |
Additional Dataset Fields¶
| Field | Description |
|---|---|
| scene | Scene parameters |
| materials | List of available materials and their electromagnetic properties |
| txrx_sets | Transmitter/receiver parameters |
| rt_params | Ray-tracing parameters |
All these attributes can be accessed via dataset.<attribute_name>, just like we did in dataset.power.plot()
For more advanced usage and features, we recommend exploring the Examples Manual, leveraging the API reference when needed.